• Предмет: Алгебра
  • Автор: sweet5753
  • Вопрос задан 3 года назад

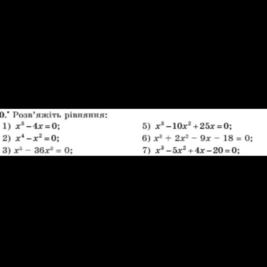
Допоможіть будь ласка

Приложения:

Ответы

Ответ дал: Lemon4u
0

Ответ:

=>>>>>>>>>>>>>>>>>>>>

Приложения:
Вас заинтересует