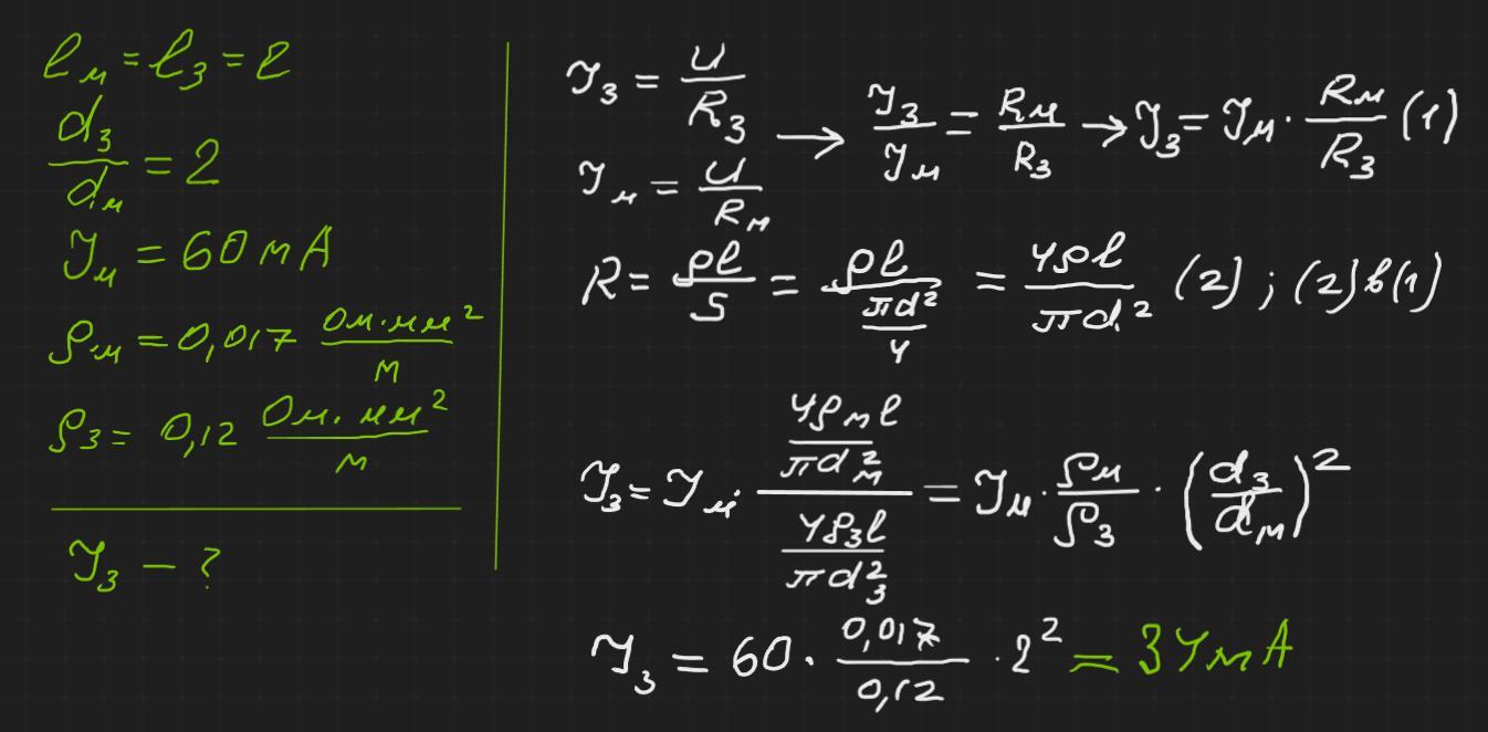
3. Мідна та залізна дротини однакової довжини увімкнені паралельно. Діаметр залізної дротини
удвічі більши від діаметра мідної. У мідній дротинi сила струму 60 мА. Яка сила струму у залізній
дротині? Питомі опори міді та заліза рівні відповідно 0,017 Ом мм²/м та 0,12 Ом мм²/м.
Ответы
Ответ дал:
2
Відповідь: 34 мА
Пояснення:
Приложения:

Вас заинтересует
2 года назад
2 года назад
7 лет назад
7 лет назад
9 лет назад
9 лет назад