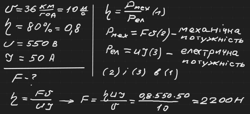
Тролейбус рухається рівномірно зі швидкістю 36км/год. Знайти силу тяги двигуна тролейбуса,
якщо при ККД 80% і напрузi 550В, по обмотці двигуна проходить струм 50А.
Даю 100 балов
Ответы
Ответ дал:
2
Відповідь: 2,2 кН
Пояснення:
Приложения:

Вас заинтересует
2 года назад
2 года назад
2 года назад
7 лет назад
7 лет назад