• Предмет: Математика
  • Автор: mariachemer56u
  • Вопрос задан 3 года назад

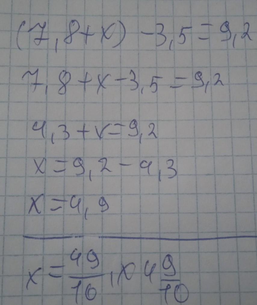
(7,8+x)-3,5=9,2
Пожалуйста помогите срочно

Ответы

Ответ дал: animehnikanimenarito
1

Ответ:

вот

Пошаговое объяснение:

можно лучший ответ..

Приложения:
Ответ дал: hdeiecol
0

Ответ: 7.8+x−3.5=9.2

x−3.5+7.8=9.2 (7,8-3,5)=4,9

x+4.3=9.2 (9,2-4,3)= 4,9

x=4.9

Пошаговое объяснение: Спасибо не надо)

Вас заинтересует