Ответы
Ответ дал:
1
Ответ:7
Объяснение:-5*-13=65
-16*-4=64
7⁶⁵‐⁶⁴=7¹=7
Ответ дал:
1
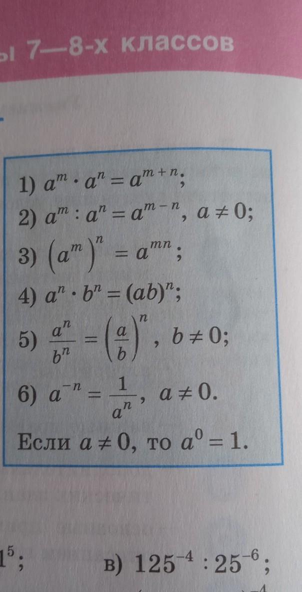
- когда мы встречаем число со степенью с целым показателем по типу (а³)⁵ то степени надо умножать
Приложения:


Вас заинтересует
2 года назад
2 года назад
7 лет назад
7 лет назад
9 лет назад