• Предмет: Алгебра
  • Автор: rasulaxmedov632
  • Вопрос задан 3 года назад

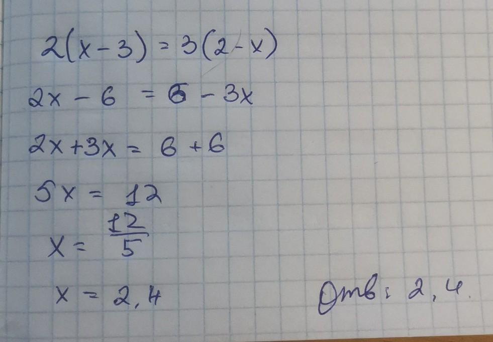
2(х-3)=3(2-х) решить уравнение с обеснением

Ответы

Ответ дал: cor1eone
0

Доброго времени суток. Решение во вложении

Приложения:
Вас заинтересует