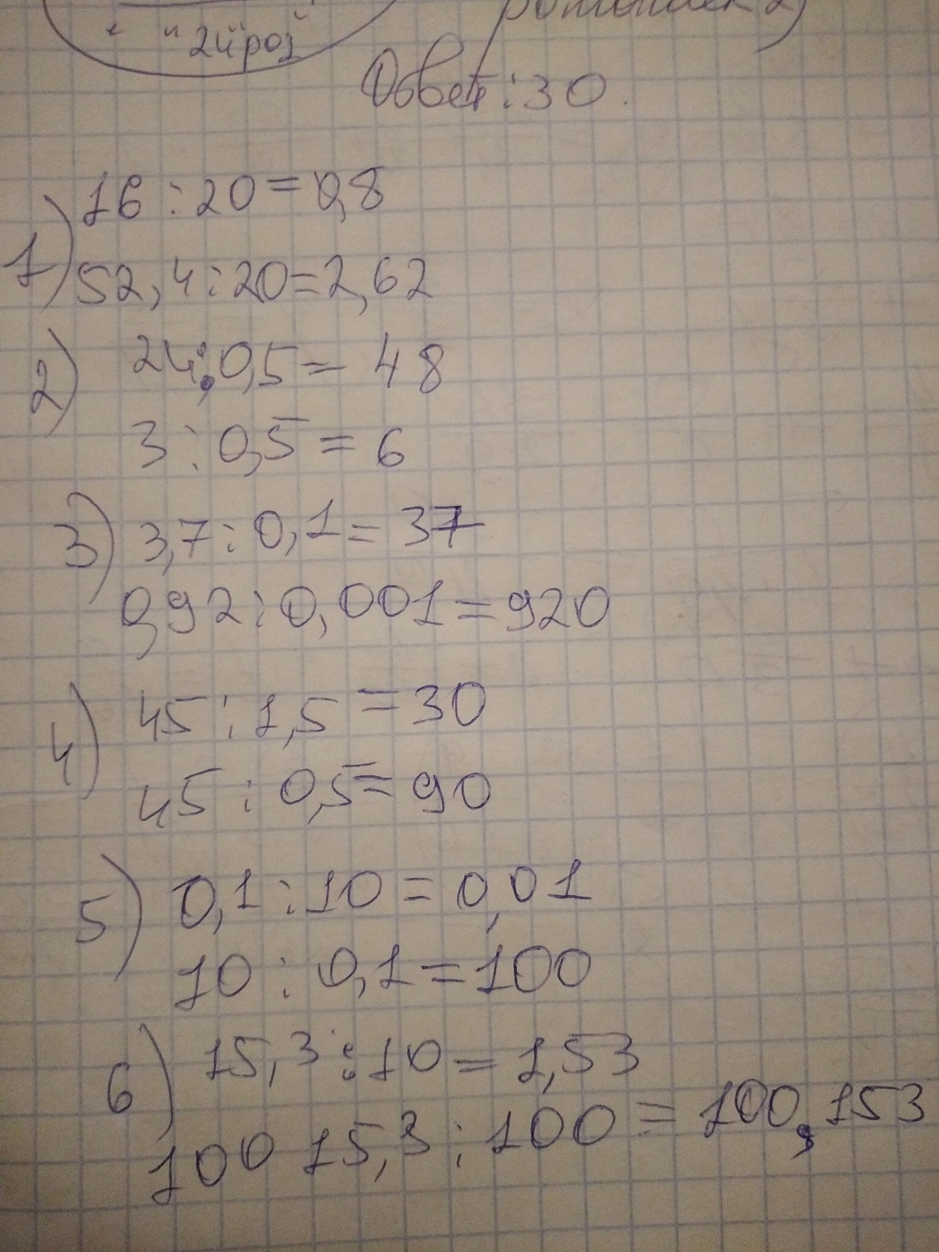
16. Вычисли.
1) 16:20
52,4:20
2) 24:0,5
6,3:0,5
3) 3,7:0,1
0,92: 0,001
4) 45:1,5
45:0,5
5) 0,1:10
10:0,1
6) 15,3:10
100 15,3:100
Ответы
Ответ дал:
1
Там гда 48 нужно 4,8
Ответ:
Пошаговое объяснение:
Приложения:

Ответ дал:
1
Ответ:
1) 0,8 и 2,62
2) 48 и 12,6
3) 370 и 920
4) 3 и 90
5) 0,01 и 100
6) 1,53 и 100,153
Вот правильный ответы
Вас заинтересует
2 года назад
2 года назад
2 года назад
7 лет назад
7 лет назад
9 лет назад
9 лет назад