• Предмет: Алгебра
  • Автор: gahsisi
  • Вопрос задан 3 года назад

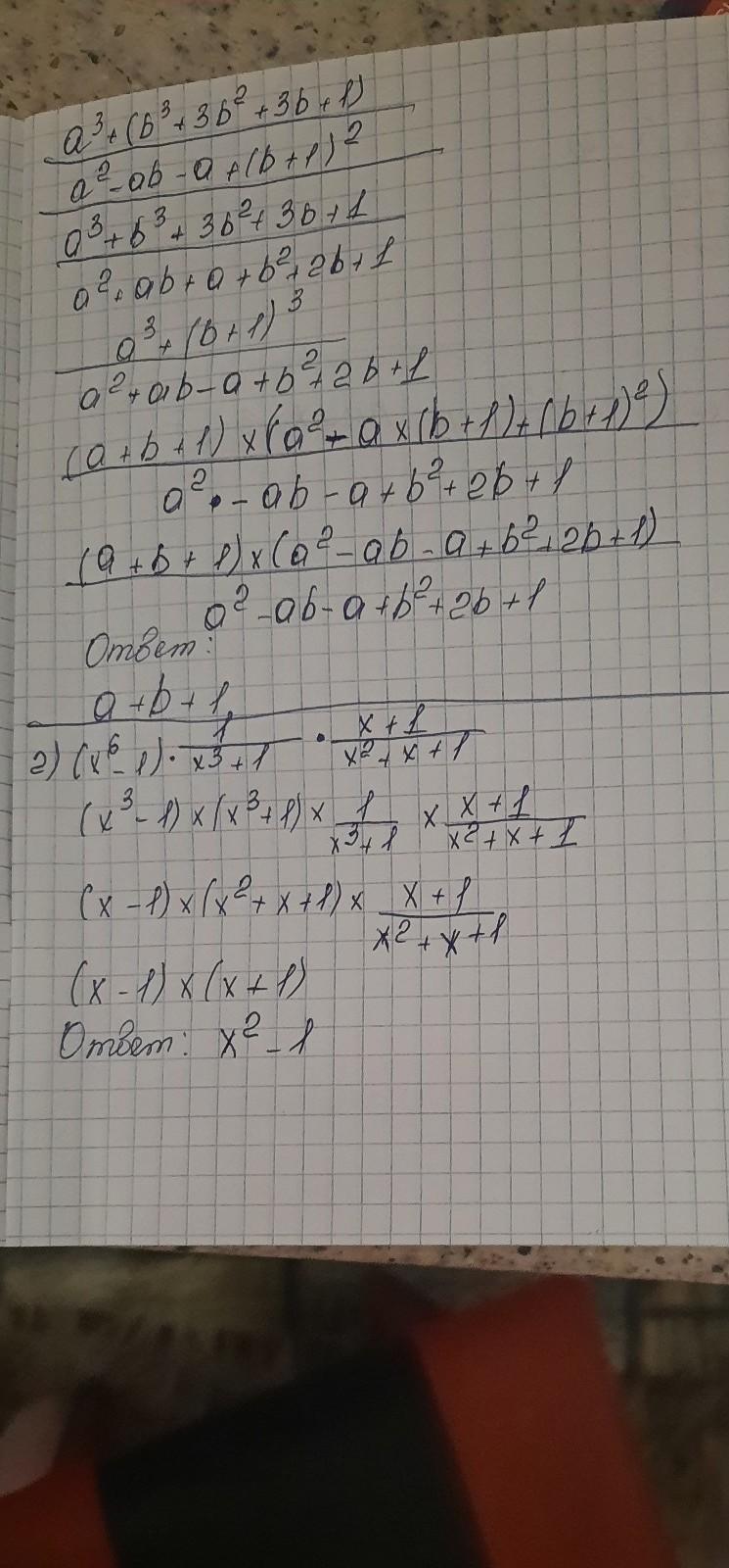
ПОМОГИТЕ, ПОЖАЛУЙСТА, СРОЧНО!!!

Приложения:

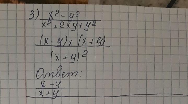
Ответы

Ответ дал: getfriday
0

Ответ:

незнаю вам надо было на все или только на эти

Приложения:
Вас заинтересует