• Предмет: Физика
  • Автор: lili6547
  • Вопрос задан 3 года назад

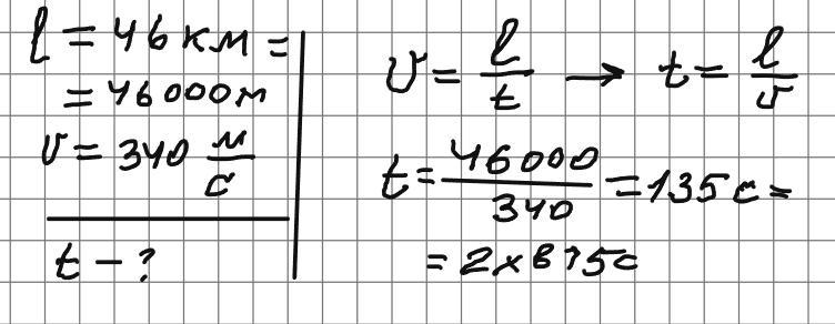
Відстань напрямку від Василівки до Запоріжжя 46км. Через який час можна бути почути вибух? Швидкість поширення звуку в повітрі дорівнює 340м/с​

Ответы

Ответ дал: zybkov1950
1

Відповідь: ≈ 2 хв 15 с

Пояснення:

Приложения:
Вас заинтересует