• Предмет: Алгебра
  • Автор: valievmidhat2020
  • Вопрос задан 3 года назад

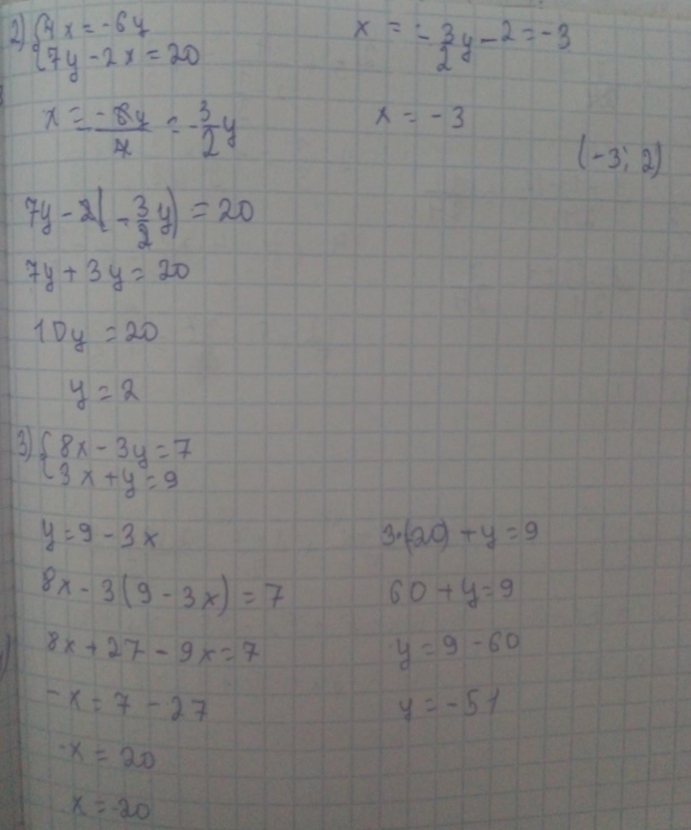
0.9. Решите систему уравнений: x-y=2, |2x-3y = -1; 1) 2) 3) |4x=-6y, 7y-2x=20; [8x-3y=7, |3x+y=9; 4) |2(x+y) - x = -6, |3x-(x-y) = 0; x+5y=-2, 5) |0,5x-y=6; 6) 2x+3(x+y) = 11, 7(x+3y) -4y=-23.​

Приложения:

Ответы

Ответ дал: ajtuganzanel65
5

Объяснение:

армен карай озын жалгастырарсын

Приложения:

shovkag: а где 4 5 6?
mahkamovfarhat6: тот же вопрос
adilzanajdarbek: остальные она не смогла доделать
dimafonov1337: там типо ориентироваться по фото и дальше самому делать
sanyielcov: мне нужен 4. пример
kadyr096094: топас где остальные
fredifnaf92: спасибо
Вас заинтересует