Поооооооомооооооогииииитееееееееееееее!!!!!!!!!!!!!!!!!!!!!!!!!!!!!!!!!!!
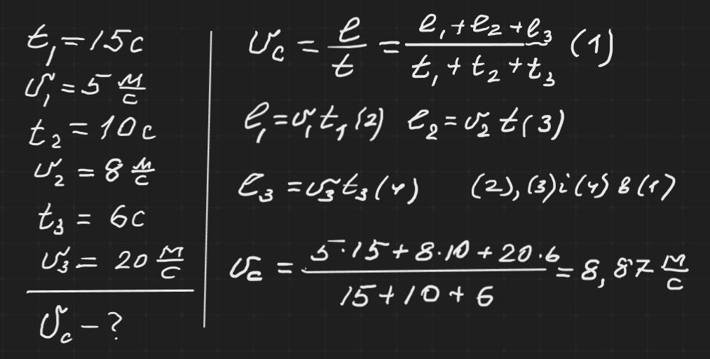
Тіло рухається протягом 15 с із швидкістю 5
м/с, далі протягом 10 с із швидкістю 8 м/с,
потім ще 6 с із швидкістю 20 м/с. Визначити
його середню швидкість.
Ответы
Ответ дал:
1
Відповідь: ≈ 8.87 м/с
Пояснення:
Приложения:

bogdanpasenko10:
спасибо брат, выручил
Вас заинтересует
2 года назад
2 года назад
2 года назад
7 лет назад
7 лет назад
9 лет назад