• Предмет: Алгебра
  • Автор: voronovstas42
  • Вопрос задан 3 года назад

Помогите пж пж пж пж ​

Приложения:

mayeranika13: Извини, на второй решить не могу
voronovstas42: окей спасибо

Ответы

Ответ дал: mayeranika13
1

Ответ:

Ответ на первый пример

Объяснение:

Приложения:
Ответ дал: susannaavdalyang
0

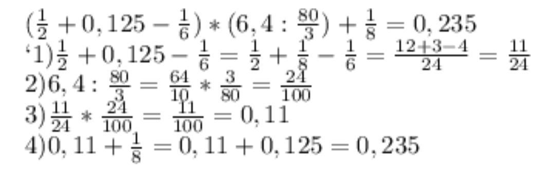
Ответ:0.235

Объяснение:



Приложения:
Вас заинтересует