• Предмет: Физика
  • Автор: unusual69420
  • Вопрос задан 3 года назад

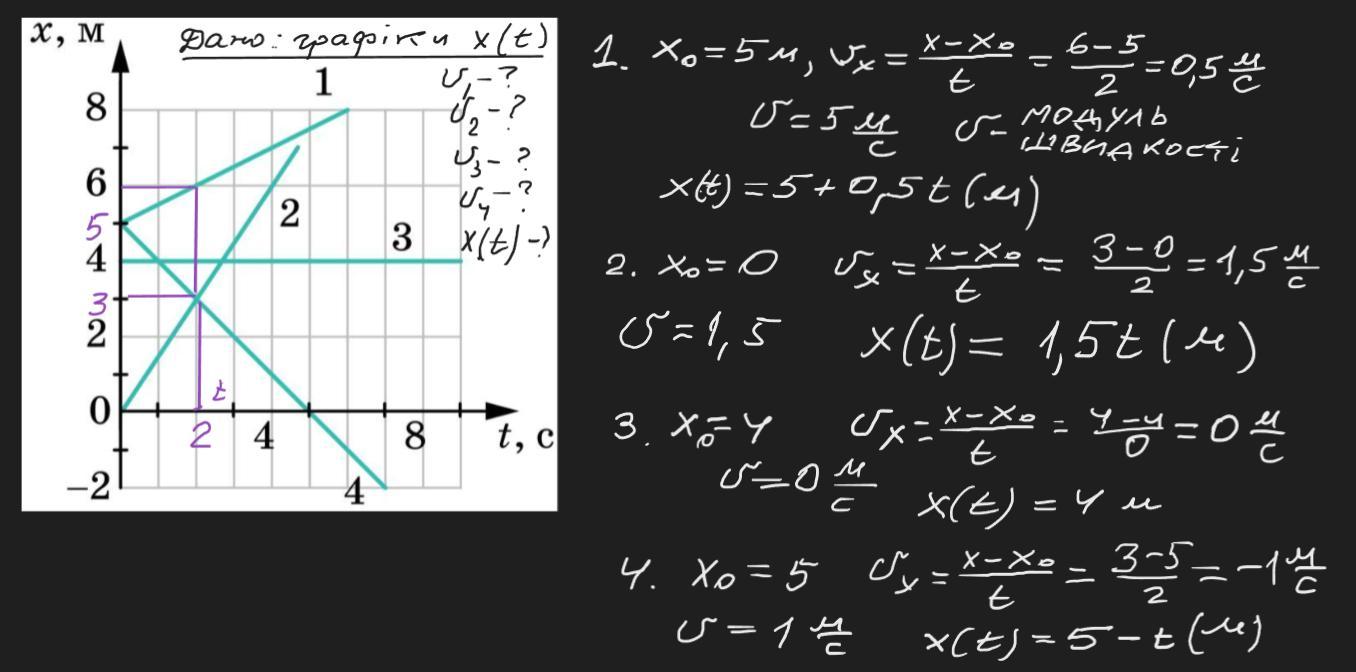
За наведеними на малюнку 14 графіками опи- шіть рух. Для кожного з них визначте модуль і напрямок швидкості, запишіть формулу х(t).

Приложения:

Ответы

Ответ дал: zybkov1950
11

Відповідь: 1, 2, 4 - рівномірні прямолінійні рухи,           3 - стан спокою (  швидкість=0)

1,2 - швидкість напрямлена у додатному напрямі осі Ох; 4 -

швидкість напрямлена у від'ємному напрямі осі Ох

Загальний вигляд рівняння  рівномірного прямолінійного  руху;

                                x(t)= x₀ +υₓt ,  

де x(t) - координата тіла у будь який момент часу t;  x₀ - початкова координата тіла; υₓ - проекція швидкості тіла на вісь Ох: υ - модуль швидкості,

Приложения:

unusual69420: Дуже дякую.
Вас заинтересует