• Предмет: Алгебра
  • Автор: krudyk34
  • Вопрос задан 3 года назад

пжпжпжжпжпжпжпжпжпжппжпж

Приложения:

Ответы

Ответ дал: MuhammadGulu
0

Ответ:

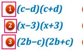
(c - d)(c + d) =  {c}^{2}  -  {d}^{2}

(x - 3)(x + 3) =  {x}^{2}  - 9

(2b - c)(2b + c) =  {4b}^{2}  -  {c}^{2}

Формула сокращенного умножение

Вас заинтересует