• Предмет: Алгебра
  • Автор: wgva
  • Вопрос задан 3 года назад

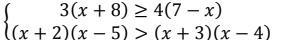
Помогите решить систему неравенств

Приложения:

Ответы

Ответ дал: kuriloi38
1

Відповідь:3х+24≥28-4х

х²-5х+2х-10>х²-4х+3х-12

3х+4х≥28-24

х²-х²-5х+2х+4х>-12+10

7х≥4

-2х>-2

х≥4/7

х>1

Пояснення: вроде так

Вас заинтересует