Ответы
Ответ дал:
0
Ответ:
1) 0,0
2)f'(x)=0
вроде правильно
Ответ дал:
0
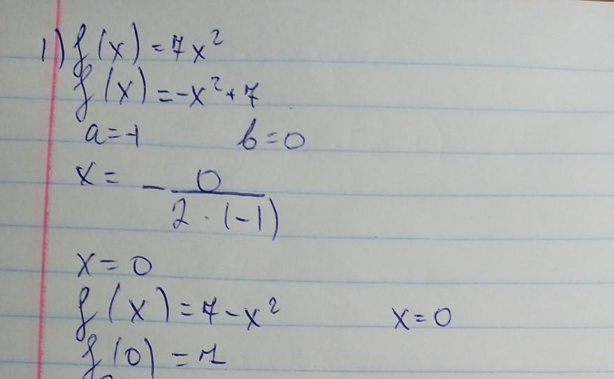
1)вершина параболы находится в точке 0,7
Приложения:


Вас заинтересует
2 года назад
2 года назад
2 года назад
2 года назад
7 лет назад
9 лет назад