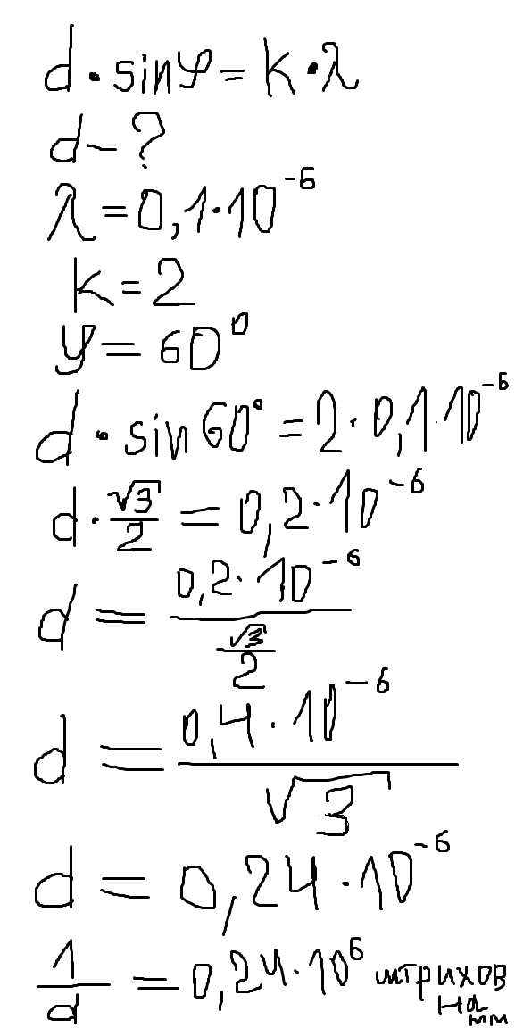
4. Сколько штрихов на 1 мм должна иметь дифракционная решетка, чтобы второй главный максимум для света с длиннойй волны 0,1 мкм наблюдался под углом 60 (градусов) к поверхности экрана?
5. На экране, находящемся в воздухе в некоторой точке наблюдается интерфенционный максимум лучей, разность хода которых равна 1,2 мкм. Чему равна разность хода лучей, если они распостроняются в среде с абсолютным показателем преломления 3 и наблюдается максимум того же порядка?
Ответы
Ответ дал:
0
решение данной задачи во вложении))
Приложения:

Вас заинтересует
2 года назад
2 года назад
8 лет назад
10 лет назад
10 лет назад