Номер: 0.9. Решите систему уравнений. Картина с примерами на верху, если напишете «хз» или ответ только на один вопрос, я накидаю жалобу на вас. Прошу вас, если собираетесь ответить, то пожалуйста ответьте на все вопросы и примеры. я уже устал искать нужны ответ
Приложения:

Ответы
Ответ дал:
0
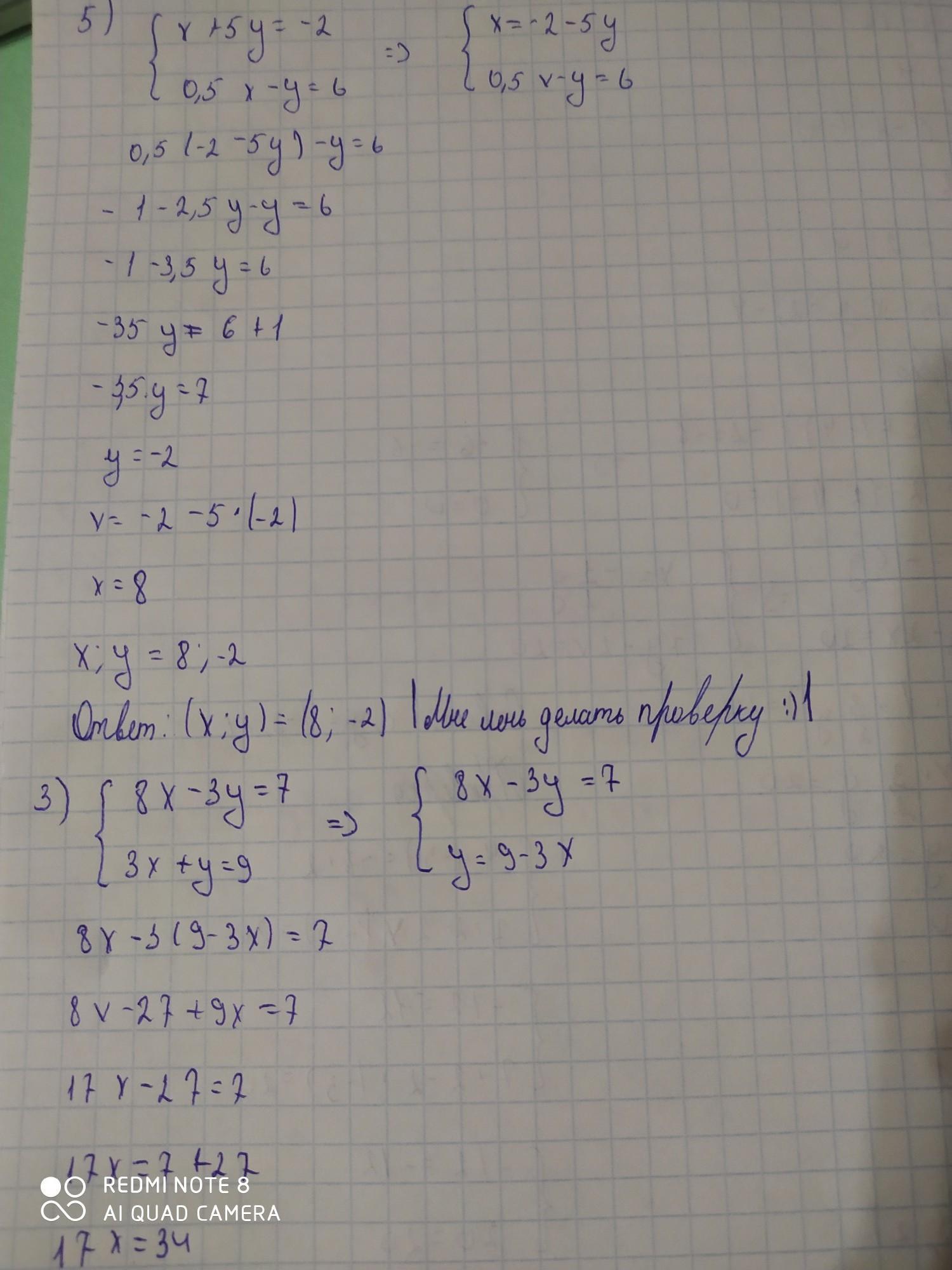
Ответ:
смотрите в фото
Пошаговое объяснение:
будут вопросы, спрашивайте
Приложения:




Вас заинтересует
2 года назад
2 года назад
2 года назад
2 года назад
7 лет назад
7 лет назад
9 лет назад
9 лет назад