Ответы
Ответ дал:
1
Ответ:
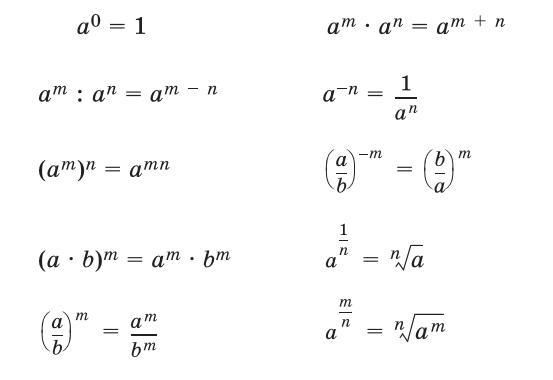
формулы сокращённого умножения и свойства степеней
Приложения:


Вас заинтересует
2 года назад
2 года назад
2 года назад
2 года назад
9 лет назад
9 лет назад