СДЕЛАЙТЕ ПОЖАЛУЙСТА 3 ПРИМЕР НЕ С ПРИЛОЖЕНИЯ, А САМИ И ОБЬЯСНИТЕ ПРОШУ!
Приложения:

bezobmejen2121:
3 пример - 1 пример!
Ответы
Ответ дал:
2
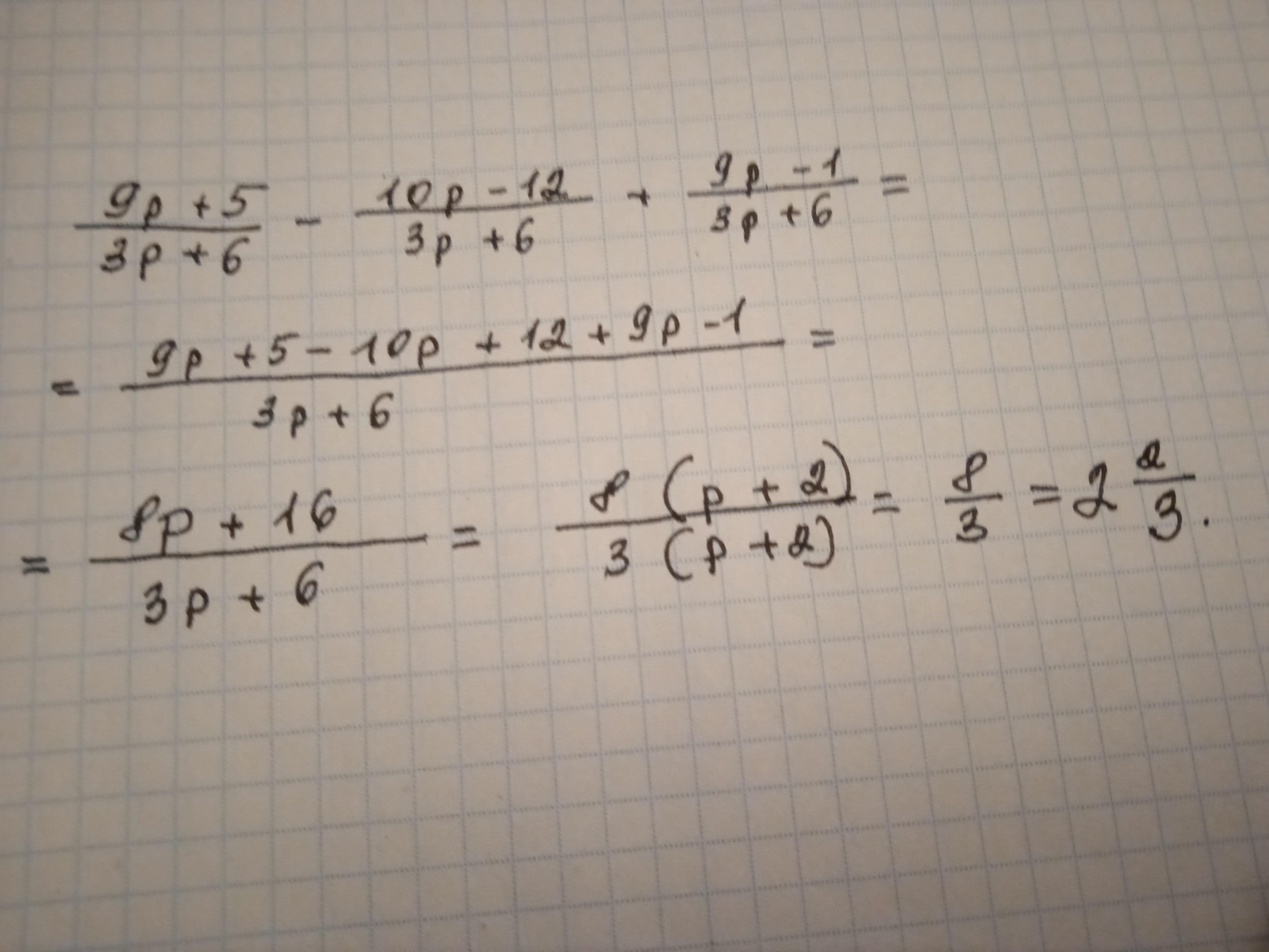
Ответ:
на фото
Объяснение:
Приложения:

Ответ дал:
1
Объяснение:
сори за почерк.................
Приложения:

Вас заинтересует
2 года назад
2 года назад
2 года назад
2 года назад
7 лет назад
7 лет назад