• Предмет: Алгебра
  • Автор: melnikakira234
  • Вопрос задан 3 года назад

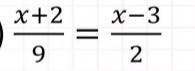
помогите пожалуйста!! это срочно!! ​

Приложения:

Ответы

Ответ дал: margaster09
1

Ответ:

y=31/7 ответ должен содержать 20 символов

Приложения:
Вас заинтересует