• Предмет: Алгебра
  • Автор: lisa4ka
  • Вопрос задан 11 лет назад

решить неравенство x-3 /3 - x > x+1/ 2

Ответы

Ответ дал: miss368
0

приведем все к общему знаменателю и получим:

х-3-3х/3>х+1/2

их этого следует,что

3(х+1)>2(-4х-3)

раскроем скобки и получится:

3х+1>-8х-6

11х>-7

х>-7/11

ответ -7/11

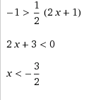
Ответ дал: pakee
0

Предыдущий ответ не правильный.

 

 

 

 

 

Приложения:
Вас заинтересует