• Предмет: Алгебра
  • Автор: anastasiadncv
  • Вопрос задан 3 года назад

Надо очень срочно!!!!!!!!

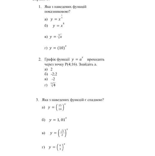
Приложения:

Ответы

Ответ дал: manyny06
0

Объяснение:

решение смотри на фотографии

Приложения:

anastasiadncv: СПАСИБО БОЛЬШОЕ!!!
Вас заинтересует