Ответы
                                            Ответ дал: 
                                                                                    
                                        
                                            
                                                
                                                
                                                
                                                    7
                                                
                                            
                                        
                                    Ответ:
Объяснение:
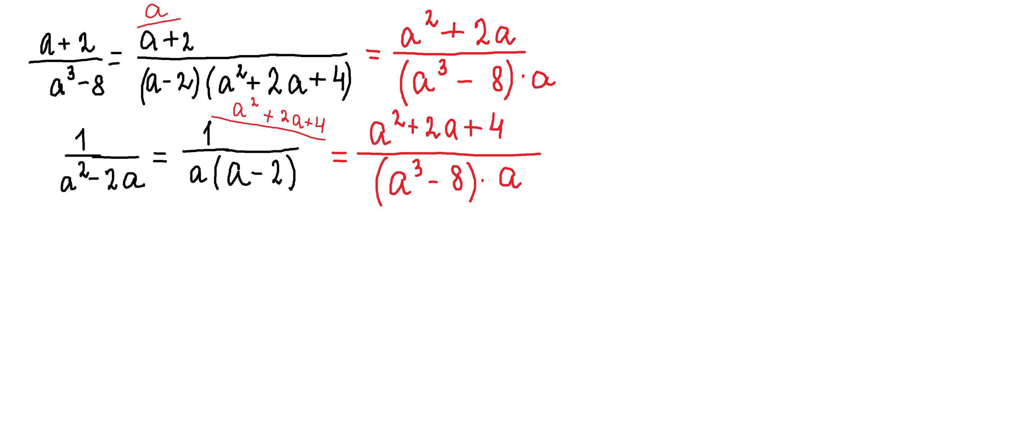
разложим знаменатель первой дроби по формуле
а³-в³=(а-в)(а²+ав+в²)
во 2 дроби вынесем общий множитель за скобки,
составим общий знаменатель из двух ,это будет а*(а³-8),запишем доп.множители к каждой дроби и найдем новые числители.
Приложения:
                     
                            Вас заинтересует
                
                        2 года назад
                    
                
                        2 года назад
                    
                
                        2 года назад
                    
                
                        2 года назад
                    
                
                        7 лет назад
                    
                
                        7 лет назад
                    
                
                        9 лет назад