• Предмет: Математика
  • Автор: Аноним
  • Вопрос задан 10 лет назад

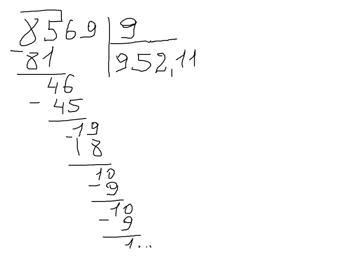
284/7=  152/5=  2042/6=  8164/8=  8420/6=  8569/9=  37610/4=  81610/3= Решите столбиком

Ответы

Ответ дал: emil246727
0
284:7=40 ( ост 4) 152:5=30 (ост 2) 2042:6=340 (ост 2) 8164:8=1020 (ост 4) 420:6=70 8569:9=952(ост 1) 37610:4=9402(ост 2) 81610:3=27203 (ост 1 )
Ответ дал: Аноним
0
Как-то так получилось....
Правда все примеры не влезли.(

Приложения:
Вас заинтересует