• Предмет: Математика
  • Автор: igorevichnlo
  • Вопрос задан 3 года назад

Математика ,арефмитическая прогрессия
Нужно сделать 3 задачи ,прошу помогите хотя бы с одной ​

Приложения:

Ответы

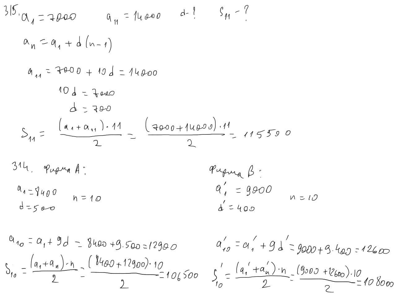
Ответ дал: Warlock1
1

Ответ:

314 и 315

Пошаговое объяснение:

Приложения:
Вас заинтересует