• Предмет: Алгебра
  • Автор: daniilbilobrovchuk
  • Вопрос задан 3 года назад

поможіть будь-ласка!!!!

Приложения:

Ответы

Ответ дал: cor1eone
1

Доброго времени суток. Решение во вложении

Приложения:
Ответ дал: SofiSamopadnaya
1

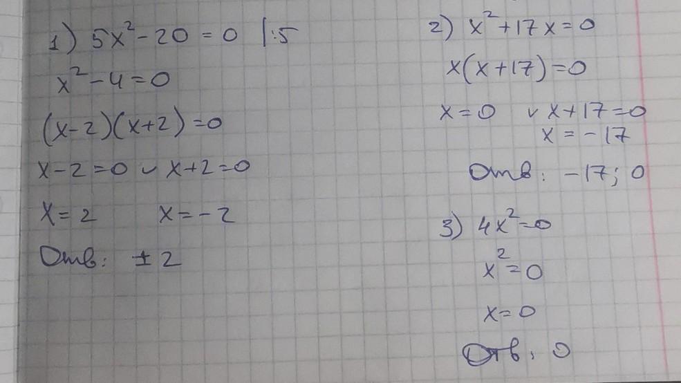
Ответ:

1. x²-4=0

x²=4

x=±2

x1=-2

x2=2

2. x(x+17)=0

x1=0

x+17=0 x2=-17

3. 4x²=0

x²=0

x=0

Вас заинтересует