• Предмет: Алгебра
  • Автор: daniyarkanu
  • Вопрос задан 3 года назад

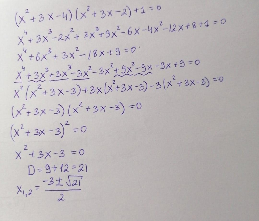
Даю 100 баллов. Нужно решить уравнение: (x^2 + 3x - 4)(x^2 + 3x - 2) + 1 = 0

Ответы

Ответ дал: mucksel
0

Ответ:

x1 = (-3 + sqrt(21)) / 2
x2 = (-3 - sqrt(21)) / 2

Объяснение:

Приложения:
Вас заинтересует