• Предмет: Алгебра
  • Автор: zhakotai85
  • Вопрос задан 3 года назад

ПОМОГИТЕ ПОЖАЛУЙСТА, СРОЧНО!!!....​

Приложения:

Ответы

Ответ дал: mucksel
1

Ответ:

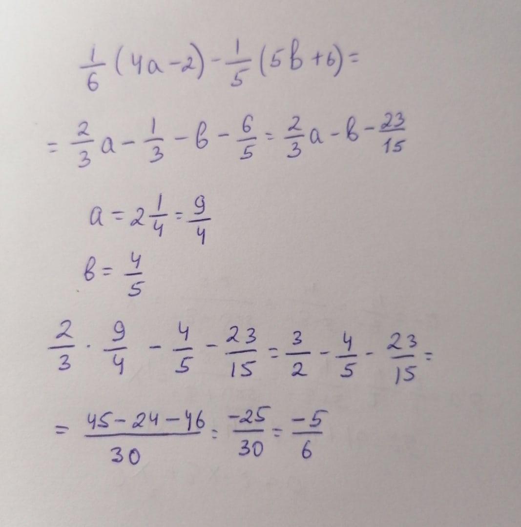
Решение на фото

Объяснение:

Приложения:

zhakotai85: спасибо!!
Ответ дал: aruzhankomekbai2009
1

Ответ:

 \frac{1}{6} (4 \times 2 \times \frac{1}{4}  - 2) -  \frac{1}{5} (5 \times  \frac{4}{5}  + 6) \\  \frac{1}{6}  \times (4 \times  \frac{9}{4}  - 2) -  \frac{1}{5}  \times (4 + 6) \\  \frac{1}{6}  \times (9 - 2) -  \frac{1}{5}  \times 10 \\ \frac{1}{6}  \times 7 - 2 \\  \frac{7}{6}  - 2 \\  -  \frac{5}{6}

Вас заинтересует