• Предмет: Химия
  • Автор: Асиано
  • Вопрос задан 10 лет назад

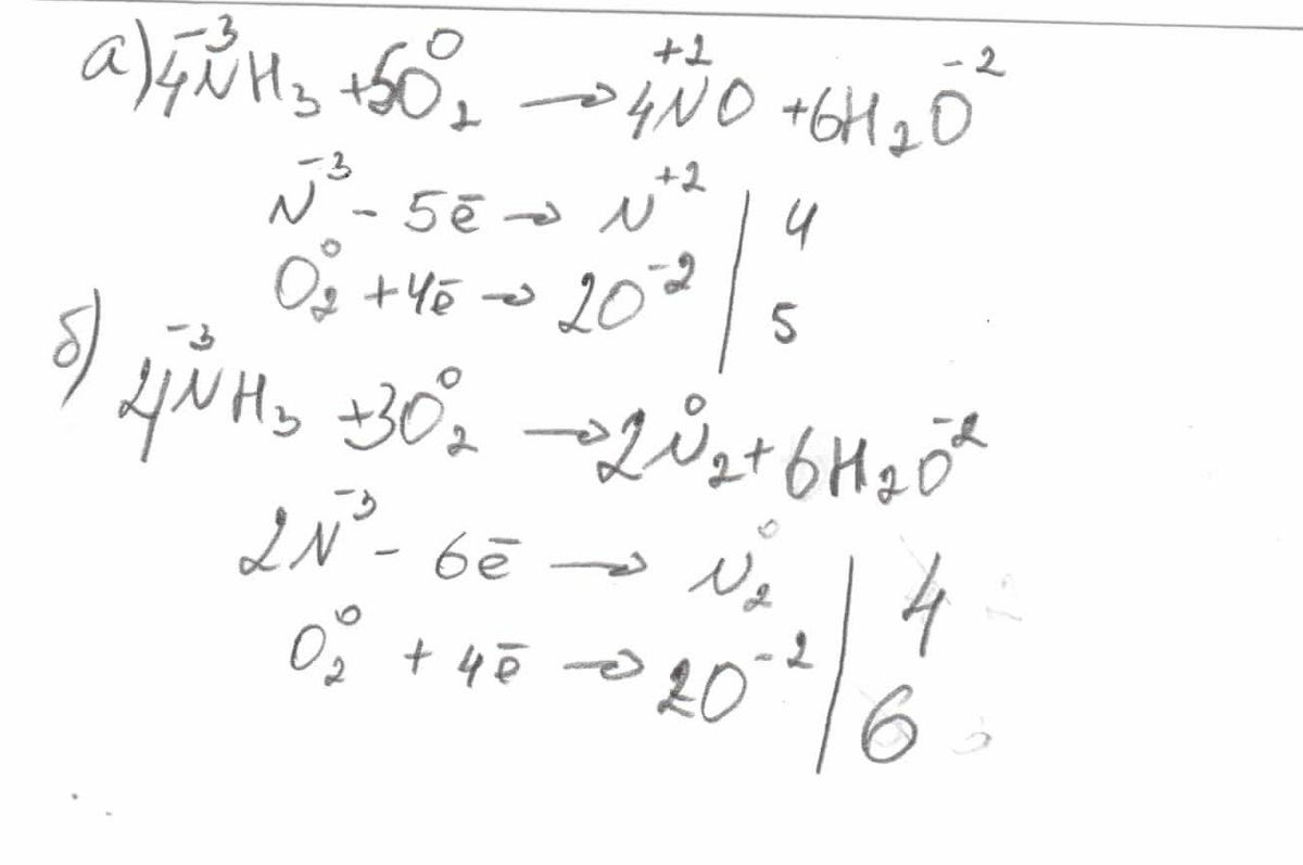
Определите. используя метод электронного баланса......

Приложения:

Ответы

Ответ дал: AscarisLumbricoides
0
...........................
Приложения:
Вас заинтересует