• Предмет: Математика
  • Автор: betsbeta59
  • Вопрос задан 3 года назад

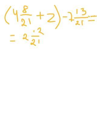
(4 8/21+z)-7 13/21=2 12/21
ПОМОГИТЕ ППЖАЖПЖЖПЖПЖПДПДПЖПДПДПДЖПЖПЖПЖПЖЖП​

Приложения:

SISICHA: привет

Ответы

Ответ дал: darasokolnikova09
0

Ответ:

если помогла пожалуйста поставьте лайк

Приложения:

betsbeta59: а как это получилось???
darasokolnikova09: сокращаем дробь и преобразуем и опять два раза сокращаем дробь вычисляем разность переносим константу в правую часть равенства вычисляем сумму и получаем ответ
betsbeta59: извини что отнимаю время, но ты можешь показать это численно???
darasokolnikova09: ок
darasokolnikova09: (4 8/21+z)-7 13/21=2 12/21. (92/21+z)-160/21=54/21. 92/21+2-160/21=18/7. -68/21+z= 18/7. z=18/7+68/21
Вас заинтересует