ПОМОГИТЕ!
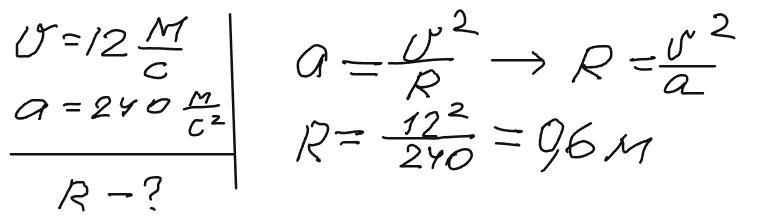
Швидкість точок обертового обруча 12 м/с. Знайдіть радіус обруча, якщо
доцентрове прискорення його точок 240 м/с квадрат
Cohendd:
а=V^2/R. Найдите радиус, все известно
Ответы
Ответ дал:
1
Відповідь: 0,6 м
Пояснення:
Приложения:

Вас заинтересует
2 года назад
2 года назад
7 лет назад
7 лет назад
9 лет назад