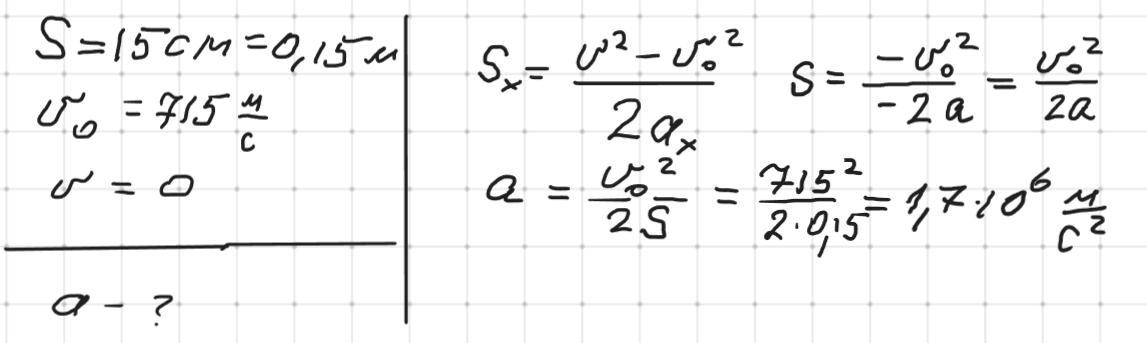
Обчислити прискорення руху кулі автомата, яка застряне на глибені 15см в цегляній стіні. Початкова швідкість кулі 715 м/с
Ответы
Ответ дал:
2
Відповідь: 1,7·10⁶ м/с²
Пояснення:
Приложения:

Вас заинтересует
2 года назад
2 года назад
2 года назад
2 года назад
7 лет назад
9 лет назад