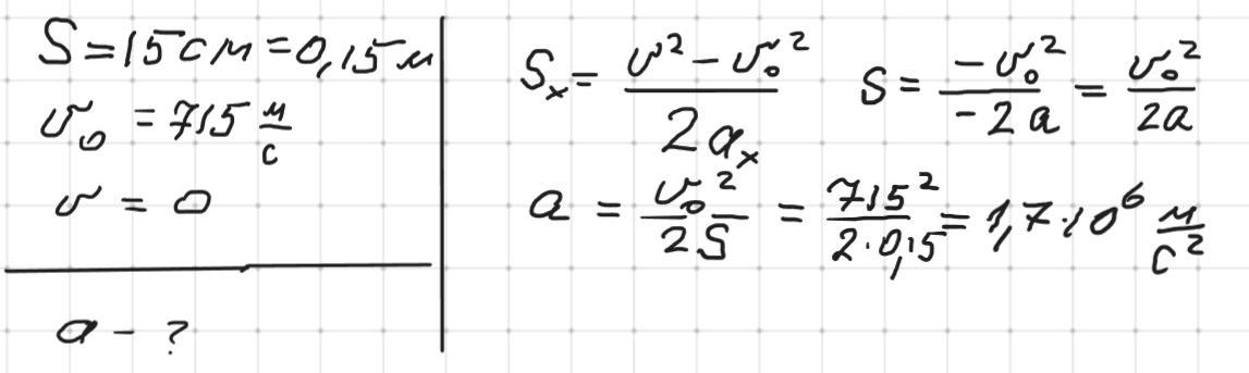
допоможіть будь ласка!! обчислити прискорення руху кулі автомата, яка застрягла на глибині 15 см в цегляній стіні. початкова швидкість кулі 715 м/с.
Ответы
Ответ дал:
0
Відповідь: 1,7·10⁶ м/с²
Пояснення:
Приложения:

Вас заинтересует
2 года назад
2 года назад
7 лет назад
7 лет назад
9 лет назад