Ответы
Ответ дал:
1
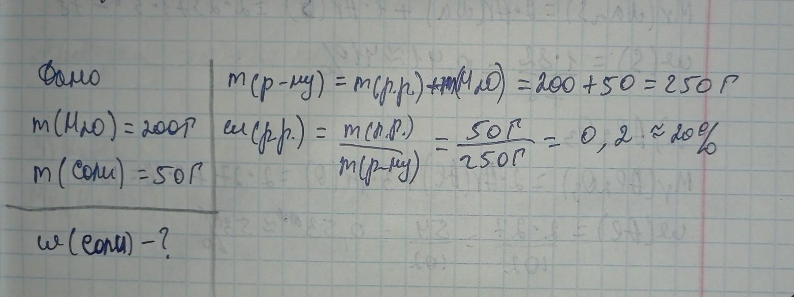
Решение на фоточке ꒰⑅ᵕ༚ᵕ꒱˖♡♡˖꒰ᵕ༚ᵕ⑅꒱
Приложения:

Вас заинтересует
2 года назад
2 года назад
2 года назад
7 лет назад
7 лет назад
9 лет назад