• Предмет: Математика
  • Автор: nikaigriska
  • Вопрос задан 3 года назад

Будь ласочкааа срочнооо даю 15 балів​

Приложения:

Ответы

Ответ дал: ludmilaksenija2005
0

Пошаговое объяснение:

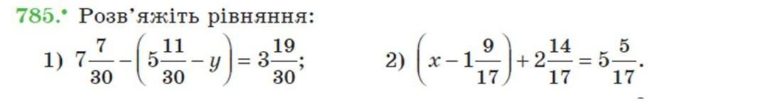
1)

7 7/30-(5 11/30-у)=3 19/30

7 7/30-5 11/30+у=3 19/30

6 37/30-5 11/30+у=3 19/30

1 26/30+у=3 19/30

у=3 19/30-1 26/30

у=2 49/30-1 26/30

у=1 23/30

2)

(х-1 9/17)+2 14/17=5 5/17

х-1 9/17=5 5/17-2 14/17

х-1 9/17= 4 22/17-2 14/17

х-1 9/17=2 8/17

х=2 8/17+1 9/17

х=3 17/17

х=4

Вас заинтересует