• Предмет: Алгебра
  • Автор: apple887
  • Вопрос задан 3 года назад

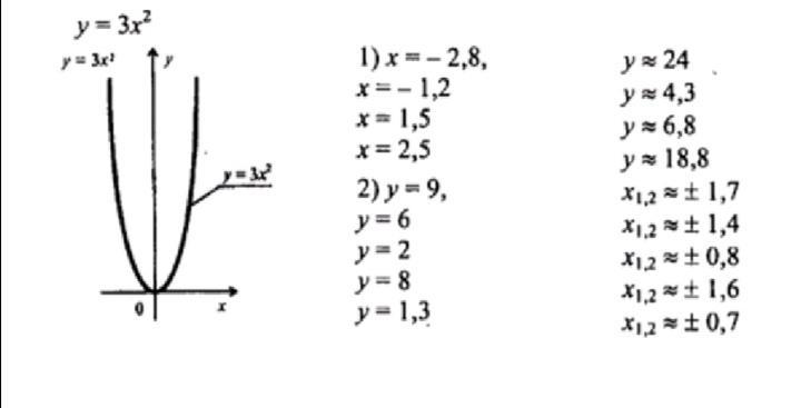
ПОМОГИТЕ ПОЖАЛУЙСТА ДАЮ 50 баллов

Приложения:

Ответы

Ответ дал: sakurasan537
1

Ответ:

Вот ответ на вопрос который вы написали

Объяснение:

Приложения:
Вас заинтересует