• Предмет: Физика
  • Автор: vladnuzhda15
  • Вопрос задан 3 года назад

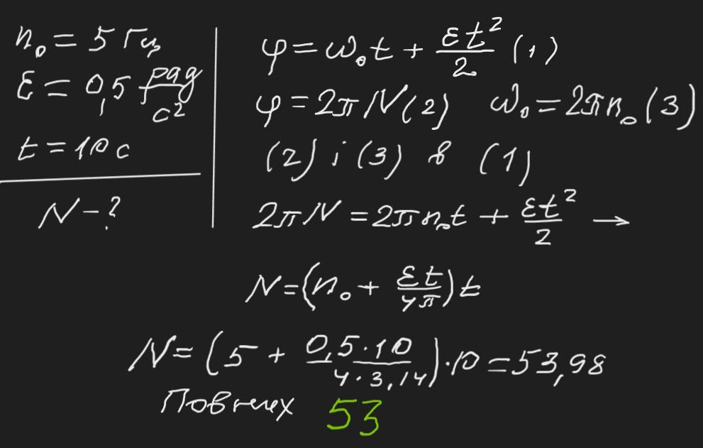
Тіло починає обертатися з частотою 5Гц та кутовим прискоренням 0,5рад/с2
. Визначити скільки повних
обертів зробить тіло за 10с.

Ответы

Ответ дал: zybkov1950
1

Відповідь: 53

Пояснення:

Приложения:

vladnuzhda15: Найкращий
Вас заинтересует