Ответы
Ответ дал:
1
Ответ:
Пошаговое объяснение:
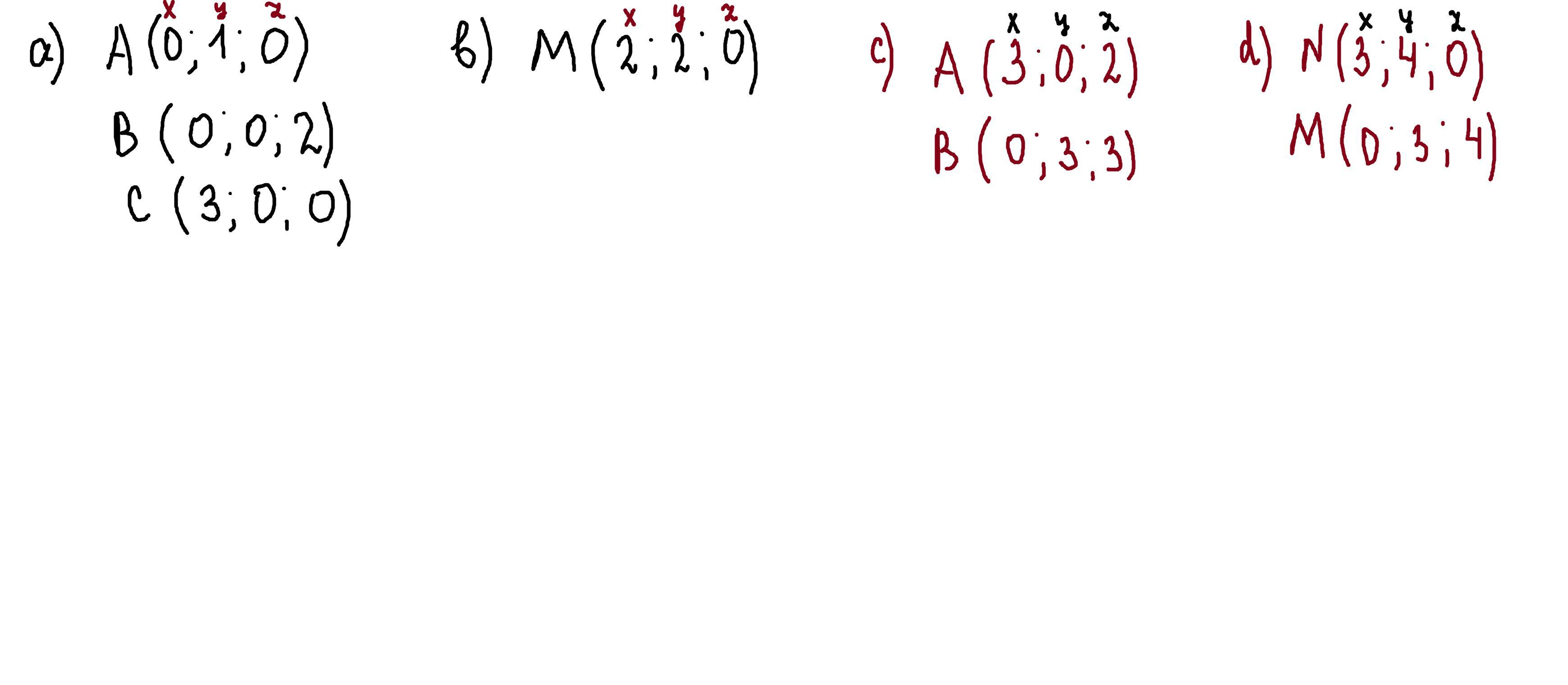
определяем так же как и на плоскости
Приложения:

Вас заинтересует
2 года назад
2 года назад
2 года назад
7 лет назад
7 лет назад
9 лет назад