Ответы
Ответ дал:
0
Ответ:
6
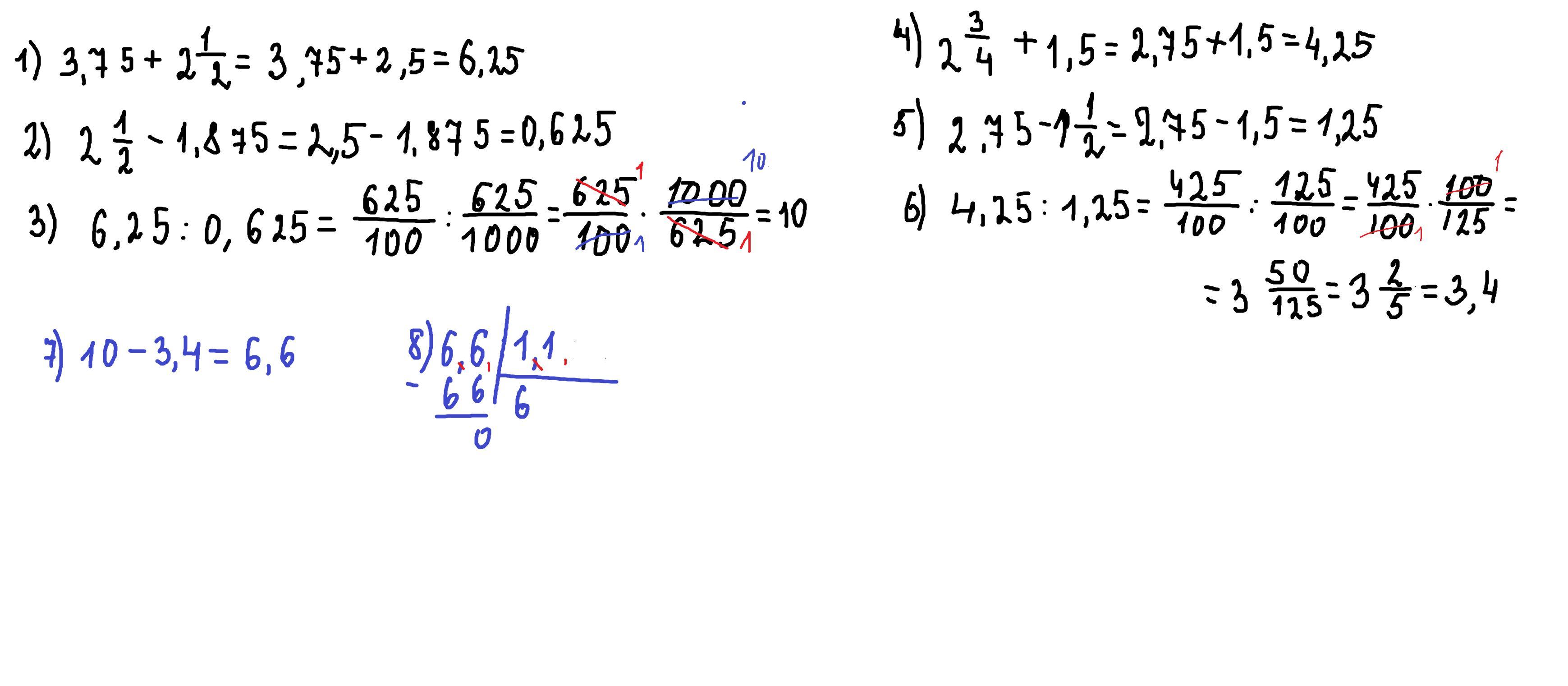
Объяснение:
решение по действиям внизу
Приложения:


Вас заинтересует
2 года назад
2 года назад
7 лет назад
7 лет назад
9 лет назад