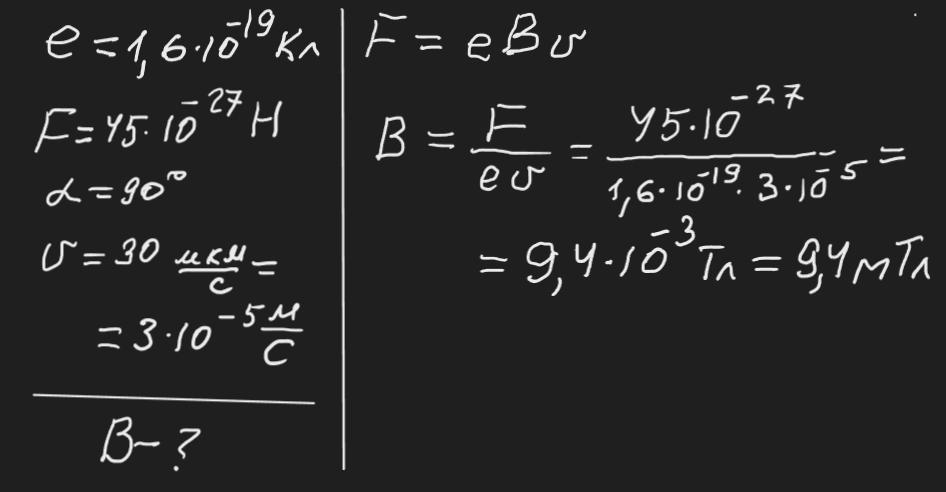
Визначте індукцію магнітного поля, якщо в ньому на електрон, що рухається зі
швидкістю 30 мкм/с, діє сила 45·10 -27 Н. Напрямок руху заряду перпендикулярний до напрямку ліній індукції магнітного поля. Заряд електрона дорівнює 1,6·10 -19 Кл.
А 9,4 Тл
Б 9,4 мТл
В 9,4 cТл
Г 94 Тл
(Решение тоже нужно)
очень срочно
Ответы
Ответ дал:
1
Відповідь: Б 9,4 мТл
Пояснення:
Приложения:
tipoenglishokda:
Здравствуйте помогите пожалуйста с заданием по биологии
Вас заинтересует
2 года назад
2 года назад
2 года назад
8 лет назад
8 лет назад
9 лет назад
9 лет назад