Ответы
Ответ дал:
1
4 4 4
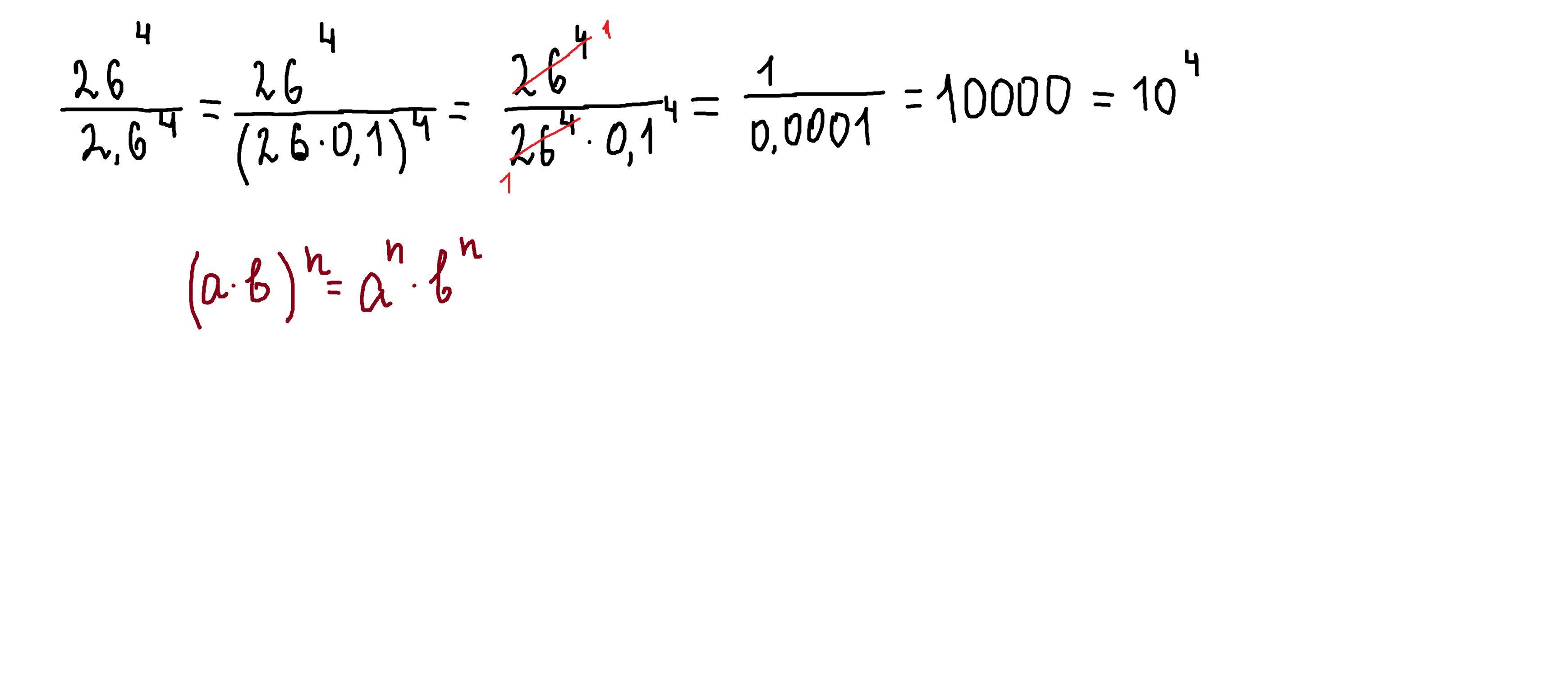
26 : 2,6 = 10
26 : 2,6 = 10
fswiftkey000:
это не правильные ответ....
(26:2,6) =10 и сверху десятки читвёрку написать
Ответ дал:
0
Ответ:
1000=10⁴
Объяснение:
Приложения:

Вас заинтересует
2 года назад
2 года назад
2 года назад
7 лет назад
7 лет назад