• Предмет: Химия
  • Автор: glebegamer
  • Вопрос задан 3 года назад

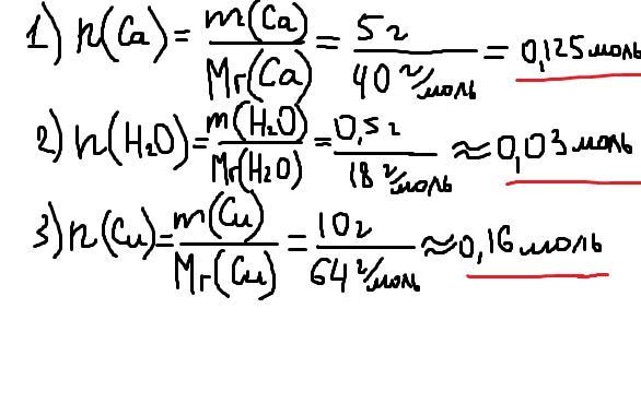
Скільки моль становлять: 5г Кальцію, 0,5г води, 10г міді

Ответы

Ответ дал: danildiachenko23
0

Ответ:

решение на фото, красным выделено ответ

Объяснение:

Приложения:

glebegamer: спасибо
danildiachenko23: Удачи!
Вас заинтересует