• Предмет: Алгебра
  • Автор: Begragon
  • Вопрос задан 3 года назад

даю 15 баллов очень надо пж!!!!

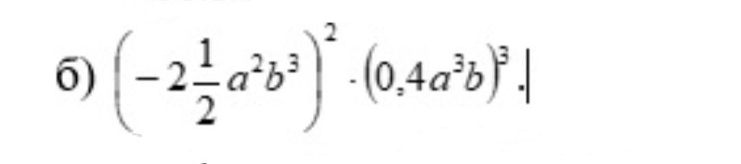
Приложения:

Ответы

Ответ дал: temirbekbanu0
0

Ответ:

0,4а¹³b⁹

Объяснение:

.............

Вас заинтересует