Ответы
Ответ дал:
1
Пошаговое объяснение:
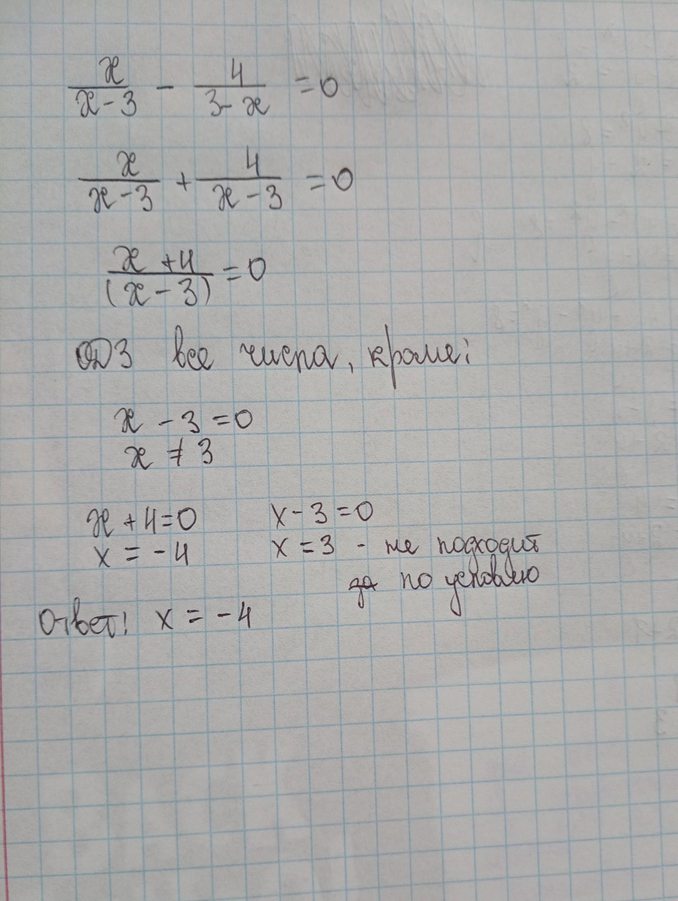
все объяснения на фото..
Приложения:

secretik31:
спасибо!!!
Ответ дал:
1
Ответ будет -4
На фото объяснение
На фото объяснение
Приложения:

Вас заинтересует
2 года назад
2 года назад
2 года назад
7 лет назад
7 лет назад
9 лет назад
9 лет назад