Опір резистора 8 Ом. Під час вимірювань амперметр показав силу струму 2,4 А, вольтметр 19,3 В. Визначте абсолютну і відносну (у %) похибки вимірювання опору в цьому випадку. Запишіть без одиниць вимірювання ці два числа, розділивши їх пробілом.
Помогите пожалуйста, до конца дня нужно!!
Ответы
Ответ дал:
2
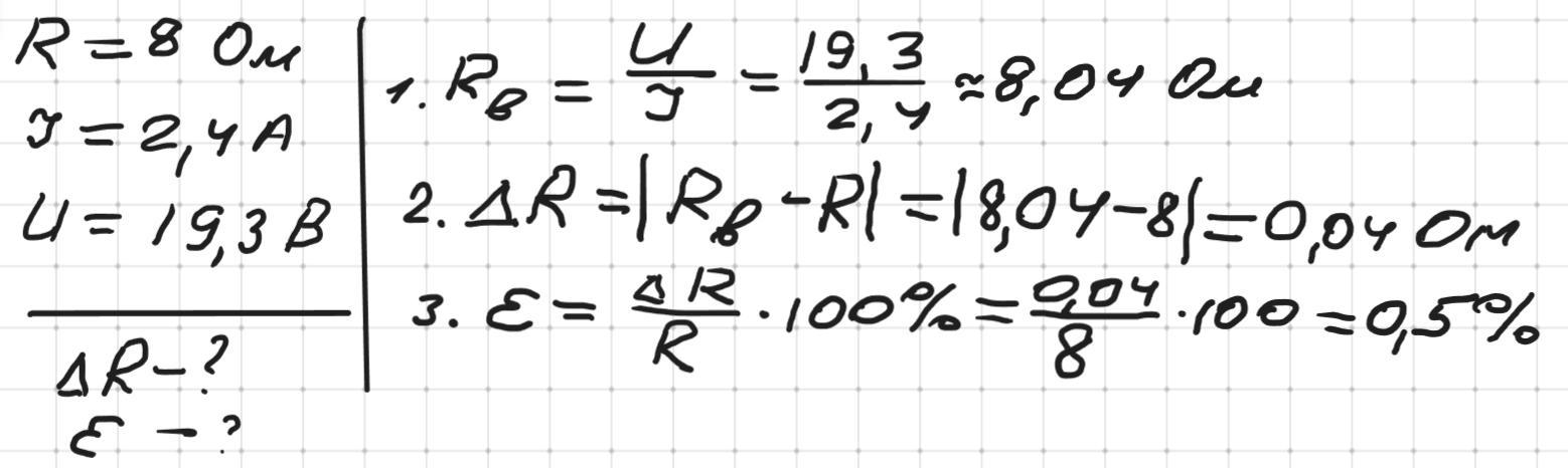
Відповідь: 0,04 0,5
Пояснення: 1. Rв - опір, обчислений у результаті вимірювань
2. Абсолютна похибка
3. Відносна (у %) похибка
Приложения:

Вас заинтересует
2 года назад
2 года назад
2 года назад
2 года назад
7 лет назад
9 лет назад