• Предмет: Физика
  • Автор: annabuc09
  • Вопрос задан 3 года назад

Дам 30 балів!!!

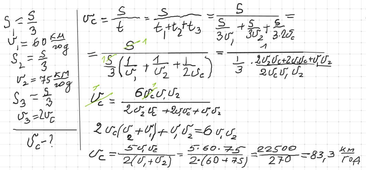
Знайти середню швидкість поїзда, якщо відомо, що першу третину шляху він пройшов з швидкістю v1= 60 км/год. другу-з швидкістю v2 = 75км / год, а останню-з швидкістю вдвоє більшою за середгю швидкість на всьому шляху..



Найти среднюю скорость поезда, если известно, что первую треть пути он прошел со скоростью v1 = 60 км/ч. вторую-со скоростью v2 = 75км/ч, а последнюю- со скоростью вдвое больше средней скорости на всем пути.

буду вдячна, мені дуже потрібна відповідь

Ответы

Ответ дал: zybkov1950
3

Відповідь: ≈ 83,3 км/год

Пояснення:

Приложения:
Вас заинтересует