• Предмет: Математика
  • Автор: homenkoelizaveta769
  • Вопрос задан 3 года назад

!!!!Допоможіть будь ласка!!!​

Приложения:

Ответы

Ответ дал: vslvks
0
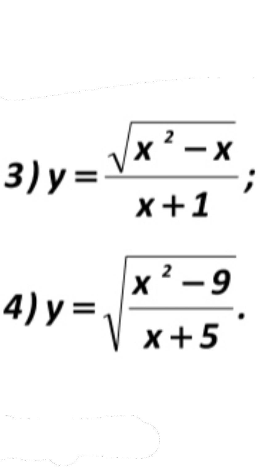
вот,там вроде производную искать нужно было
Приложения:
Вас заинтересует