• Предмет: Математика
  • Автор: oksanamalceva7
  • Вопрос задан 10 лет назад

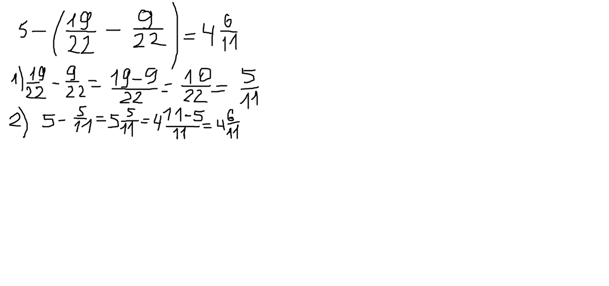
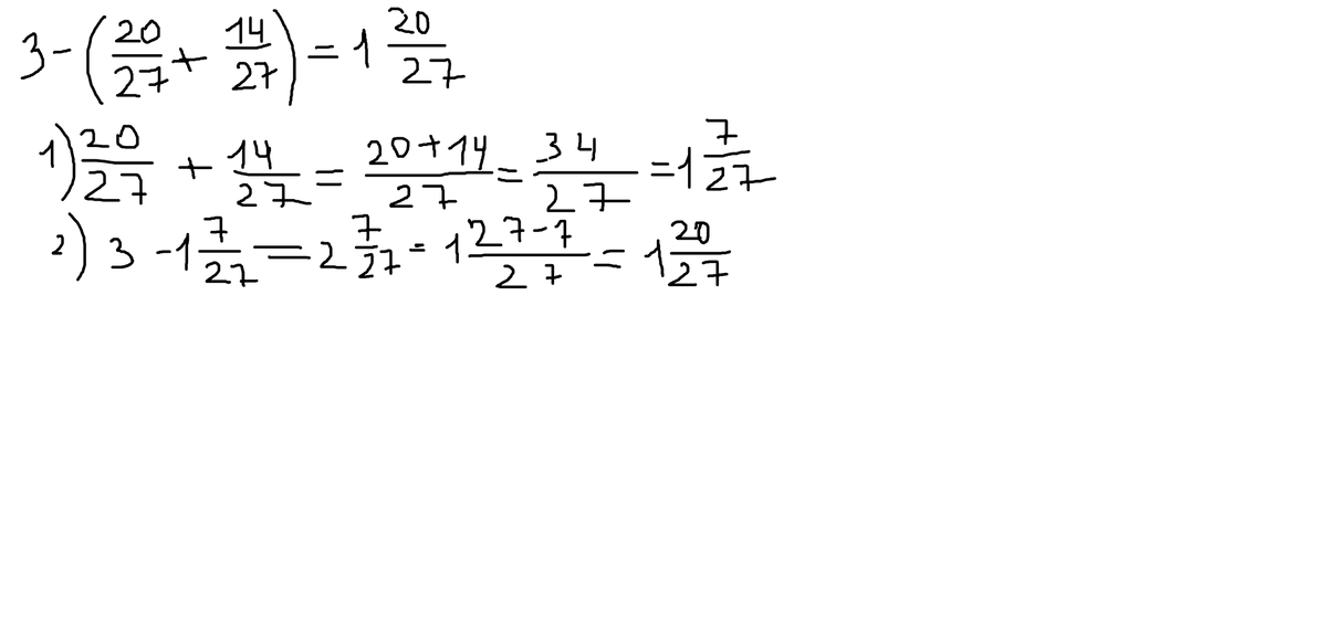
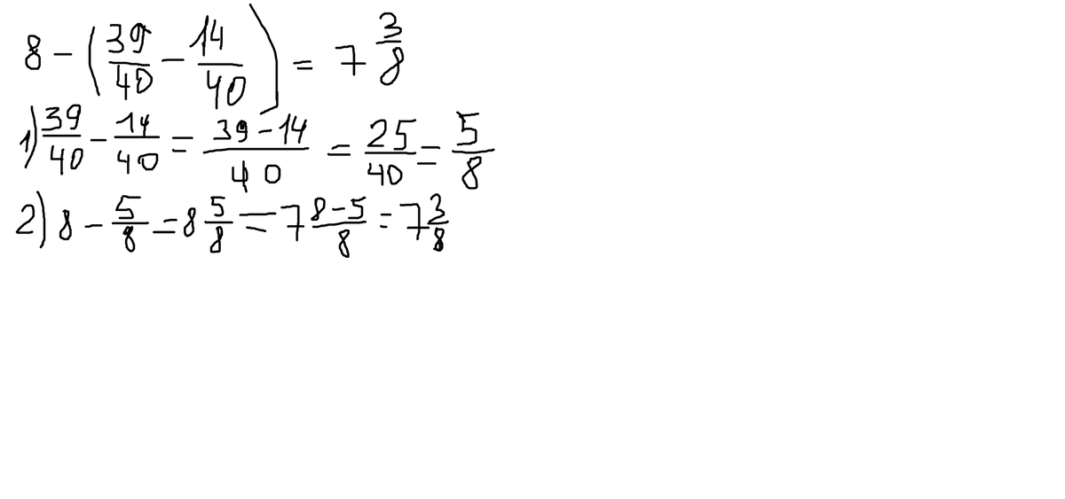
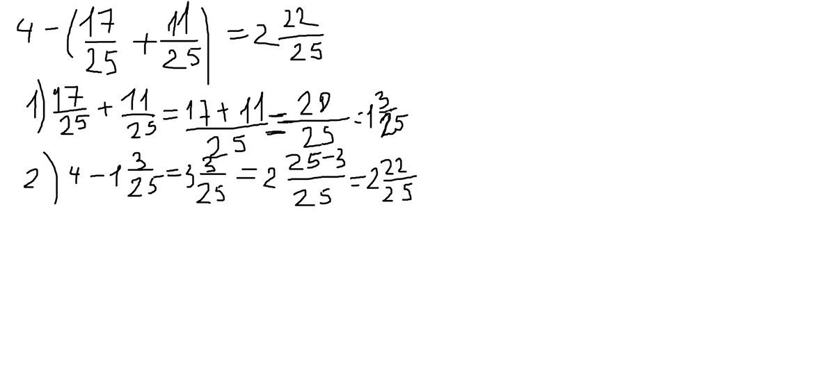
ВЫЧИСЛИТЕ 3-(20/27+14/27); 5-(19/22-9/22); 4-(17/25+11/25); 8-(39/40-14/40)

Ответы

Ответ дал: aynurtuleuova
0
47/27:50/11:72/25:59/8
Ответ дал: 27mashenka20
0
 3-(20/27+14/27)=1 20/27
5-(19/22-9/22)=4 6/11
4-(17/25+11/25)=2 22/25
 8-(39/40-14/40)=7 3/8
Приложения:
Вас заинтересует