Ответы
Ответ дал:
0
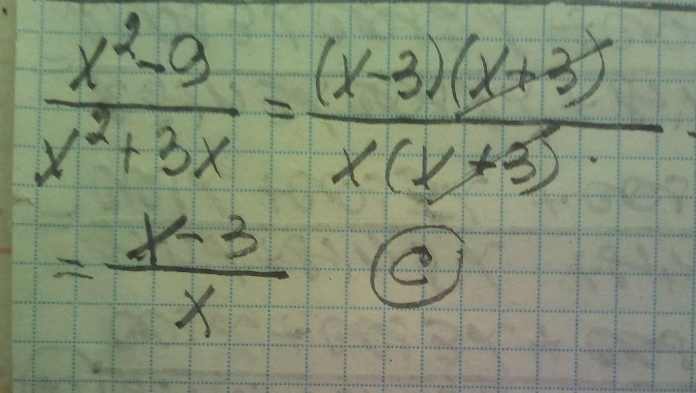
Ответ:
C
Объяснение:
Будь ласка, гарного настрою
simenovavika:
помоги с химией
Ответ дал:
0
Ответ:
решение смотри на фотографии
Приложения:

Вас заинтересует
2 года назад
2 года назад
2 года назад
2 года назад
9 лет назад
9 лет назад